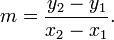
The rate of change is the ratio of vertical change to horizontal change. It is sometimes called the derivative, slope, or rate or change. The slope is in the Y-axis

Slope= vertical change
Horizontal change
OR rise
run
OR

It doesn’t matter if you use the formula or rise over run method you use you should get the same answer. (rise over run- how many spaces you go up / and how many space you go move to the right)
In the equation Y=mx+b “m” stands for the slope.